22060A AC Axial Fan
22060A AC Axial Fan — Φ211.0 × 60.0 mm
✯ Structural Features
Frame & Blade Material
- Frame: Aluminum alloy
- Impeller: Engineering Plastic
Bearing Structure: Dual Ball Bearings

Rated Service Life: 50,000 hours @ 40°C
Operating Temperature: −40°C ~ +75°C
Storage Temperature: −50°C ~ +85°C
Weight: 1700.0 g
✯ Mechanical Dimensions

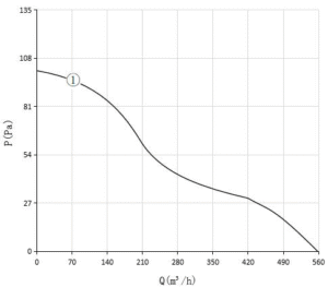
✯ Airflow Performance Curve

Basic Fan Specifications
| Model | Voltage (V) | HZ | Power (W) | Speed (RPM) | Airflow (m³/h) | Pressure (Pa) | Noise (dBA) | Curve |
| J220FZJ725-60A00 | 220 | 50 | 48.0 | 2500 | 552.1 | 102.0 | 59.0 | ① |
- Note: Environmental performance requirements of the fan comply partially with GJB 1423-1992, subject to the specifications detailed in the applicable product datasheet.
